Planimetria to dział matematyki geometrycznej zajmujący się badaniem figur płaskich, czyli obiektów, które są ograniczone dwuwymiarowymi płaszczyznami. W planimetrii analizowane są różne właściwości, takie jak pole powierzchni, obwód, kształt i inne aspekty płaskich figur geometrycznych.
Punkt (P): Punkt jest fundamentalnym pojęciem w geometrii i nie ma rozmiaru ani długości. Służy jako punkt odniesienia w przestrzeni.
Linia prosta: Linia prosta jest nieskończoną kolekcją punktów, która jest równa i nie ma grubości ani szerokości.
Odcinek: Odcinek to skończona część linii prostej zawierająca dwa końce.
Prosta: Prosta jest nieskończoną linią prostą, która przechodzi przez dwa punkty.
Kąt: Kąt jest miarą obrotu między dwiema promieniami, które mają wspólny punkt początkowy.
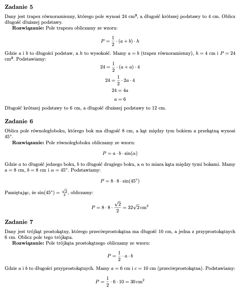
Trójkąt: Trójkąt to figura płaska o trzech bokach i trzech wierzchołkach.
Czworokąt: Czworokąt to figura płaska o czterech bokach i czterech wierzchołkach.
Koło: Koło to figura płaska, która składa się z punktu środkowego i wszystkich punktów na jednakowej odległości od środka.
Obwód: Obwód figury płaskiej to suma długości wszystkich jej boków.
Pole Powierzchni: Pole powierzchni figury płaskiej to miara obszaru zajmowanego przez tę figurę.
Równoległobok: Równoległobok to czworokąt, którego przeciwległe boki są równoległe i równe.
Równoległociąg: Równoległociąg to trójkąt, którego przeciwległe boki są równoległe.
Trapez: Trapez to czworokąt z dwoma równoległymi bokami i dwoma innymi bokami, które nie są równoległe.
Wzory: W planimetrii stosuje się różne wzory, takie jak wzory na pole powierzchni i obwód różnych figur geometrycznych, w tym trójkątów, prostokątów, okręgów i innych.
Środkowa to linia lub odcinek, który łączy środki dwóch boków figury geometrycznej, takiej jak trójkąt lub czworokąt. W przypadku trójkąta, można mieć trzy środkowe: środkową boku AB, środkową boku BC i środkową boku CA. Każda z tych środkowych jest równo odległa od końców przeciwnego boku i przecina się w jednym punkcie, który jest środkiem masy lub środkiem ciężkości trójkąta. W przypadku czworokąta można mieć także środkowe boków, które łączą środki przeciwnych boków.
Symetralna to linia lub odcinek, który dzieli inny odcinek lub bok na dwie równe części i jest prostopadły do tego odcinka. W przypadku trójkąta, symetralna może być odcinkiem łączącym środek boku z przeciwnym wierzchołkiem. W przypadku okręgu, symetralna to odcinek, który przechodzi przez środek okręgu i dzieli go na dwie równe części. Symetralne są istotne w analizie symetrii i konstrukcji geometrycznych.
Dwusieczna to odcinek, który dzieli dany kąt na dwa równe kąty. W przypadku trójkąta, można mieć trzy dwusieczne: dwusieczna kąta A, dwusieczna kąta B i dwusieczna kąta C. Dwusieczna kąta jest linią lub odcinkiem wychodzącym z wierzchołka kąta, która przecina przeciwną stronę kąta i dzieli go na dwa równe kąty.
Twierdzenie o środkowych w trójkącie Trzy środkowe trójkąta przecinają się w jednym punkcie. Punkt ten, nazywany środkiem ciężkości trójkąta, dzieli każdą ze środkowych w stosunku 2:1 (licząc od wierzchołka).
Środek okręgu opisanego leży na przecięciu symetralnych boków trójkąta:
Kąt środkowy - to kąt, który ma wierzchołek w środku okręgu, a ramionami są promienie okręgu.
Kąt środkowy może mieć wartość z przedziału (0∘,360∘). Oto przykład kąta środkowego wklęsłego:
Kąt wpisany - to kąt, który ma wierzchołek na okręgu, a ramionami są cięciwy okręgu.
Rys. 3 Kąt wpisany α oparty na łuku AB
Miara kąta środkowego jest 2 razy większa od miary kąta wpisanego opartego na tym samym łuku co kąt środkowy.
Kąt środkowy α jest oparty na tym samym łuku AB co kąt wpisany β. Zatem:




Planimetria ma szerokie zastosowanie w różnych dziedzinach, takich jak architektura, inżynieria, geodezja, kartografia, nauki przyrodnicze i wiele innych. Pomaga w analizie i rozwiązywaniu problemów związanych z dwuwymiarowymi strukturami i obiektami.
Strona www stworzona w kreatorze WebWave.
Podpowiedź:
Możesz usunąć tę informację włączając Plan Premium